C语言8.25

Time Limit: 1000ms
Memory Limit: 32768KB
64-bit integer IO format: %lld      Java class name: Main

Description

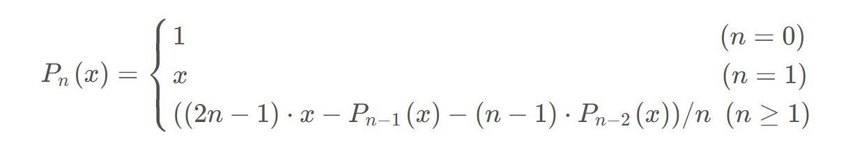
用递归方法求n阶勒让德多项式的值,递归公式如下:

Input

在一行内有一个正整数n和一个实数x,用空格分隔。保证n不超过10。

Output

输出pn(x)的值,小数点后保留4位小数。

请注意行尾输出换行。

Sample Input

5 2.5

Sample Output

637.0117

Author

Admin
Language: 
Theme: 
Share Code? 

Powered by NB231 | Current Style: .