C语言9.3

Time Limit: 1000ms
Memory Limit: 32768KB
64-bit integer IO format: %lld      Java class name: Main

Description

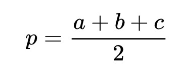
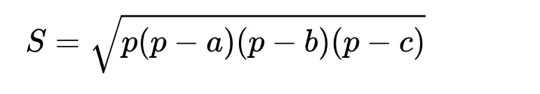
给定三角形的面积公式为:

其中。a、b、c为三角形的三边。要求通过定义两个带参数的宏,一个用来求s,另一个用来求area,完成三角形的面积计算。

Input

三个用空格隔开的正整数,分别表示三角形的a、b、c三边。输入保证三角形不退化。

Output

三角形的面积,小数点后保留3位小数。
请注意行尾输出换行。

Sample Input

10 7 8

Sample Output

27.811

Author

Admin
Language: 
Theme: 
Share Code? 

Powered by NB231 | Current Style: .